武书连2015中国734所大学综合实力排行榜
北大、浙大、清华列三甲
由中国管理科学研究院《中国大学评价》课题组组长武书连著,中国统计出版社出版的《挑大学 选专业--2015高考志愿填报指南》已经出版发行。
为了给考生和考生家长填报高考志愿提供参考,中国统计出版社自2003年起,按年度出版武书连的《挑大学 选专业--高考志愿填报指南》,至今已经连续13年。自1991年武书连从事《中国大学评价》课题研究,至今24年。
《挑大学 选专业--2015高考志愿填报指南》对比上年做了大幅调整。全书以大学综合实力排名、学科门类排名、本科专业排名为主线,以教师学术水平、教学科研效率、新生质量、本科毕业生质量排名为辅线,全面介绍了中国734所大学的基本情况,为考生及考生家长填报高考志愿提供了真实可信的参考资料。其中综合实力排行榜展示了各大学人才培养和科学研究的整体状况,是学校整体实力的充分体现。
在人们的认识中,大学基本上是固定不变的,可是现实中的大学却是不断变化的。14年前,在武书连出版第一部《挑大学 选专业-高考志愿填报指南》时,同样在110名左右的大学,在同一个指标体系里,到了2015年,有的进步到40多名,有的退步到400多名。学校实力和水平变化之大,恍如隔世。因此,考生选择大学时,要注意观察大学的发展趋势,选择学术水平高、综合实力强的大学。
一、武书连2015中国734所大学综合实力排行榜
(200名之后的学校名次见分省排行榜)






二、武书连2015中国734所大学综合实力分省排行榜
(一)2015中国华北地区各省大学综合实力排行榜
华北地区包括北京市、天津市、河北省、山西省、内蒙古自治区,共5个省级行政区。
1、2015北京市大学综合实力排行榜


2、2015天津市大学综合实力排行榜

3、2015河北省大学综合实力排行榜

4、2015山西省大学综合实力排行榜

5、2015内蒙古自治区大学综合实力排行榜

(二)2015中国东北地区各省大学综合实力排行榜
东北地区包括辽宁省、吉林省、黑龙江省,共3个省级行政区。
1、2015辽宁省大学综合实力排行榜


2、2015吉林省大学综合实力排行榜

3、2015黑龙江省大学综合实力排行榜

(三)2015中国华东地区各省大学综合实力排行榜
华东地区包括上海市、江苏省、浙江省、安徽省、福建省、江西省、山东省,共7个省级行政区。
1、2015上海市大学综合实力排行榜

2、2015江苏省大学综合实力排行榜

3、2015浙江省大学综合实力排行榜

4、2015安徽省大学综合实力排行榜

5、2015福建省大学综合实力排行榜

6、2015江西省大学综合实力排行榜

7、2015山东省大学综合实力排行榜


(四)2015中国中南地区各省大学综合实力排行榜
中南地区包括河南省、湖北省、湖南省、广东省、广西壮族自治区、海南省,共6个省级行政区。
1、2015河南省大学综合实力排行榜

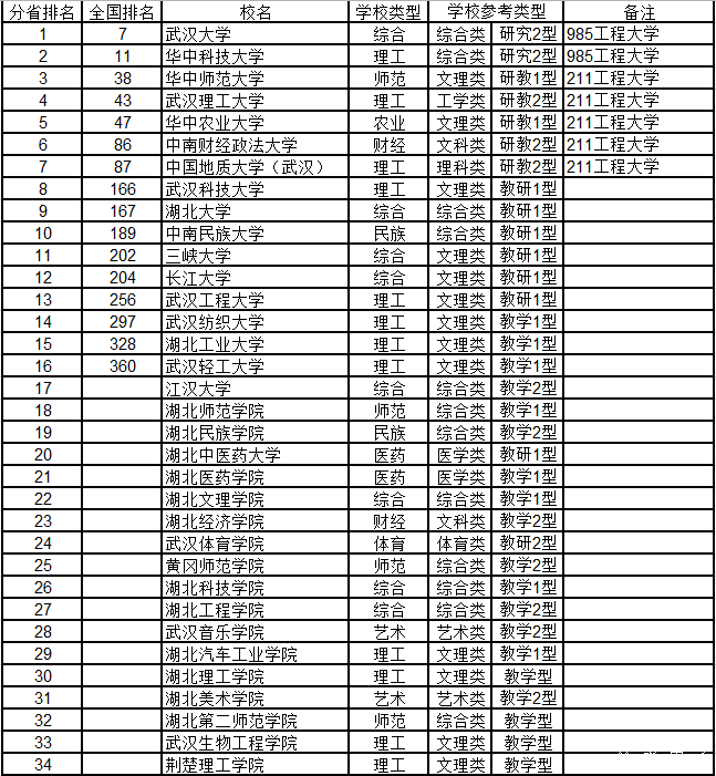
2、2015湖北省大学综合实力排行榜

3、2015湖南省大学综合实力排行榜

4、2015广东省大学综合实力排行榜

5、2015广西壮族自治区大学综合实力排行榜

6、2015海南省大学综合实力排行榜

(五)2015中国西南地区各省大学综合实力排行榜
西南地区包括重庆市、四川省、贵州省、云南省、西藏自治区,共5个省级行政区。
1、2015重庆市大学综合实力排行榜

2、2015四川省大学综合实力排行榜

3、2015贵州省大学综合实力排行榜

4、2015云南省大学综合实力排行榜

5、2015西藏自治区大学综合实力排行榜

(六)2015中国西北地区各省大学综合实力排行榜
西北地区包括陕西省、甘肃省、青海省、宁夏回族自治区、新疆维吾尔自治区,共5个省级行政区。
1、2015陕西省大学综合实力排行榜


2、2015甘肃省大学综合实力排行榜

3、2015青海省大学综合实力排行榜

4、2015宁夏回族自治区大学综合实力排行榜

5、2015新疆维吾尔自治区大学综合实力排行榜

数据来源:《挑大学 选专业--2015高考志愿填报指南》 武书连著,中国统计出版社2015年1月出版
武书连2015中国322所独立学院排行榜发布
浙大宁波理工学院、浙大城市学院、北师大珠海分校蝉联三甲
由中国管理科学研究院《中国大学评价》课题组组长武书连著,中国统计出版社出版的《挑大学 选专业--2015高考志愿填报指南(独立学院版)》已于日前出版发行。
《挑大学 选专业--2015高考志愿填报指南(独立学院版)》为方便考生和考生家长查询目标大学,对比上年做了大幅调整。全书以独立学院综合实力排名、学科门类排名为主线,以教师创新能力、教学科研效率、新生质量、本科毕业生质量排名为辅线,全面介绍了中国322所独立学院(其中41所已转设为普通高校)的基本情况,为考生及考生家长报考独立学院提供了真实可信的参考资料。
与上一年度相比,2015独立学院评价,取消了国家自然科学基金立项数、国家社科基金立项数两项指标,原因是大部分独立学院该两项指标都是以主办学校名义申请的。
武书连2015独立学院评价,继续沿用本科大学的评价体系。区别在于,根据国家对独立学院的定位,考虑到独立学院以培养应用型人才为主,2015独立学院评价人才培养权重所占比例较高,为84.50%;科学研究权重所占比例较低,为15.50%。而同一年度普通高等学校该两项指标的比例是:人才培养56.75%,科学研究43.25%。
一、浙江大学宁波理工学院蝉联综合实力第1名
在武书连2015中国独立学院排行榜中,浙江大学宁波理工学院以9.76分蝉联冠军,浙江大学城市学院以4.97分蝉联亚军,北京师范大学珠海分校以3.83分蝉联季军。获得第4名至第10名的大学依次是:第4名电子科技大学中山学院,第5名浙江工业大学之江学院,第6名山西大学商务学院,第7名吉林大学珠海学院,第8名燕山大学里仁学院,第9名三亚学院,第10名浙江师范大学行知学院。
支持浙江大学宁波理工学院夺冠的主要指标,仍然是该院明显高于其他独立学院的教师创新能力。宁波理工学院优异的教师创新能力,使该院的科研得分占中国322所独立学院科研总得分的12.41%。不过上一年度该项指标是14.88%,这说明其他独立学院的科研创新能力增加较快。
二、浙江大学城市学院蝉联毕业生质量第1名
在《挑大学选专业--2015高考志愿填报指南(独立学院版)》中,浙江大学城市学院蝉联毕业生质量第1名,北京师范大学珠海分校蝉联第2名,浙江大学宁波理工学院蝉联第3名。获得第4名至第10名的学院依次是:第4名南京大学金陵学院,第5名浙江工商大学杭州商学院,第6名安徽财经大学商学院,第7名南开大学滨海学院,第8名浙江工业大学之江学院,第9名南京医科大学康达学院,第10名南京中医药大学翰林学院。
独立学院本科毕业生质量计算方法:将每所学院的新生质量名次与该学院的教师创新能力名次相加,再将各大学该两项之和升序排列,得到中国独立学院毕业生质量排行榜。
三、浙江大学宁波理工学院蝉联教师创新能力第1名
在武书连2015中国独立学院教师创新能力排行榜上,浙江大学宁波理工学院蝉联教师创新能力第1名,浙江大学城市学院蝉联第2名,浙江工业大学之江学院蝉联第3名。获得第4名至第10名的学院依次是:第4名电子科技大学中山学院,第5名温州大学城市学院,第6名安徽财经大学商学院,第7名浙江师范大学行知学院,第8名北京师范大学珠海分校,第9名聊城大学东昌学院,第10名宁波大学科学技术学院。
独立学院教师创新能力计算方法:将每所学院的科学研究得分,除以教育部发展规划司公布的各独立学院专任教师数量(其中兼职教师每2人折合1人),再将结果降序排列就得到中国独立学院教师创新能力排行榜。其中教育部发展规划司公布的学生人数与教师人数生师比不足25﹕1的,教师人数按25﹕1计算。
四、北京师范大学珠海分校蝉联新生质量第1名
在《挑大学选专业--2015高考志愿填报指南(独立学院版)》中,北京师范大学珠海分校蝉联第1名,浙江大学城市学院蝉联第2名,南京审计学院金审学院蝉联第3名。获得第4名至第10名的学院依次是:第4名南京大学金陵学院,第5名华中科技大学武昌分校,第6名浙江工商大学杭州商学院,第7名厦门大学嘉庚学院,第8名南开大学滨海学院,第9名西安交通大学城市学院,第10名苏州大学文正学院。
独立学院新生质量计算方法:将每所学院在各省的录取分数线,按《挑大学选专业--2014高考志愿填报指南(独立学院版)》附在书末的“大学新生录取分数线折算系数R2k的确定”方法进行计算,将结果降序排列就得到中国独立学院新生质量排行榜。不公布录取分数线的学校取该类学校最低分数线。
五、浙江大学宁波理工学院蝉联教学科研效率第1名
在武书连2015中国独立学院教学科研效率排行榜上,浙江大学宁波理工学院蝉联教学科研效率第1名,浙江工业大学之江学院夺得第2名,安徽财经大学商学院取第3名。获得第4名至第10名的学院依次是:第4名浙江大学城市学院,第5名温州大学城市学院,第6名电子科技大学中山学院,第7名云南艺术学院文华学院,第8名浙江师范大学行知学院,第9名聊城大学东昌学院,第10名北京师范大学珠海分校。
独立学院教学科研效率计算方法:将每所学院在排行榜中的总得分,除以教育部发展规划司公布的各独立学院专任教师人数,再将结果降序排列就得到中国独立学院教学科研效率排行榜。其中教育部发展规划司公布的学生人数与教师人数生师比不足25﹕1的,教师人数按25﹕1计算。
六、精选出12所中国高水平独立学院宁波理工等校入选
中国高水平独立学院代表中国独立学院最高水平。武书连提出的2015年中国高水平独立学院的标准是:在中国独立学院评价中,同时满足以下3项条件的教学研究型独立学院:1.本科毕业生质量居全国独立学院前30名。2.教师创新能力居全国独立学院前30名。3.教学科研效率居全国独立学院前30名。按此标准,2015年共有12所独立学院入选中国高水平独立学院。名单见下表:

七、宁波理工学院获自然科学总分第1名,社会科学总分第1名
在理学、工学、农学、医学4个学科门类组合的自然科学排名中,浙江大学宁波理工学院列第1名,浙江大学城市学院第2名,电子科技大学中山学院第3名。
理学第1名:浙江大学宁波理工学院
工学第1名:浙江大学宁波理工学院
农学第1名:湖南农业大学东方科技学院
医学第1名:浙江大学城市学院
在经济学、法学、教育学、文学、历史学、管理学、艺术学7个学科门类组合的社会科学排名中,浙江大学宁波理工学院列第1名,北京师范大学珠海分校第2名,电子科技大学中山学院第3名。
经济学第1名:浙江大学宁波理工学院
法学第1名:浙江大学宁波理工学院
教育学第1名:北京师范大学珠海分校
文学第1名:浙江大学宁波理工学院
历史学第1名:南京师范大学泰州学院
管理学第1名:浙江大学宁波理工学院
艺术学第1名:云南艺术学院文华学院
八、武书连2015中国独立学院综合实力排行榜
本排行榜的独立学院指的是教育部批准的独立学院,以及2008年以后由独立学院转设的普通高校。
武书连2015中国322所独立学院综合实力排行榜



武书连2015中国独立学院综合实力分省排行榜
(排名在200名之后的独立学院只列出分省排名,不列全国排名。)
1、北京市

2、天津市

3、河北省

4、山西省

5、内蒙古自治区

6、辽宁省

7、吉林省

8、黑龙江省

9、上海市

10、江苏省

11、浙江省

12、安徽省

13、福建省

14、江西省

15、山东省

16、河南省

17、湖北省

18、湖南省

19、广东省

20、广西壮族自治区

21、海南省

22、重庆市

23、四川省

24、贵州省

25、云南省

26、陕西省

27、甘肃省

28、青海省

29、宁夏回族自治区

30、新疆维吾尔自治区

数据来源:《挑大学 选专业--2015高考志愿填报指南(独立学院版)》 武书连著,中国统计出版社2015年3月出版
鑫泉出国全国品牌留学机构,提供最新留学资讯,为您成功留学不遗余力!如有疑问欢迎拨打以下咨询热线:
资讯来源:来源网络
责任编辑:孙卉